| Thread Previous • Date Previous • Date Next • Thread Next |
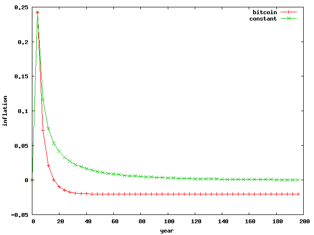
On Thu, Nov 2, 2017 at 3:39 PM, John Tromp <john.tromp@xxxxxxxxx> wrote: > The attached plot summarizes how the bitcoin emission compares to that of grin > over the first 200 years, assuming a 2% yearly loss of coins. Here's the same plot, as well as one for inflation, as a gif. Maybe these can be added to https://github.com/mimblewimble/grin/wiki/fees-mining regards, -John
Attachment:
emissions.gif
Description: GIF image
Attachment:
inflation.gif
Description: GIF image
| Thread Previous • Date Previous • Date Next • Thread Next |